大学,让我们跨越山海,相遇相识。宿舍,承载着同学们青葱时光中珍贵的友情与爱。心美言丽宿舍留,德行礼让文明求。为了展现丰富的寝室文化,创造美好的生活空间,进一步美化足球高清直播在线观看
学生生活环境,营造良好寝室氛围。足球高清直播
于2023年11月22日开展了“清明雅室·馥郁德馨”文明寝室评比活动。评比期间各寝室成员积极配合舍委会的工作,展现了文明友好的氛围,也体现了各寝室积极评比的态度。
寝室文化建设主要包括两个方面:
一、寝室内务整理
这个方面主要是关于寝室的卫生和整洁度。具体来说,就是要保持宿舍地面、墙面、门窗、灯管等干净,桌面、铺上、床下等处物品整齐有序,还可以进行一些美观大方的布置,比如贴上墙纸、挂上装饰画等。
二、个性文化建设
这包括生活指导老师对学生的友情寄语、各宿舍的名称、管理公约、书法绘画作品、荣誉角等等。这些元素可以增加寝室的个性和文化氛围,同时也可以促进同学们间的交流和互动。
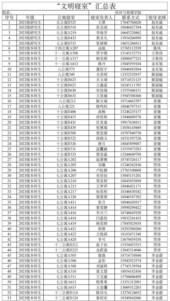
共计评选出以下53间“文明寝室”:


在评比过程中,舍委会成员深入各个宿舍,对宿舍的卫生状况、安全设施、用电规范等方面进行了细致的检查。他们认真听取了同学们的意见和建议,并对存在的问题进行了现场指导和纠正。

宿舍文化建设是校园文化建设的重要组成部分,是思想政治工作进宿舍的有效载体,对陶冶学生的情操,增强学生的人文素养,丰富学生的文化底蕴具有十分重要的意义。本次“清明雅室·馥郁德馨”文明宿舍活动在推动宿舍文明改造的同时,充分锻炼了同学们的自主创新意识和审美意识,利于校园和谐美好、积极向上的校园文化氛围建设,也希望在本次活动过后,同学们能够继续保持在宿舍改造中的热情和活力,以饱满的精神状态投入到日常的学习生活中,砥砺奋斗,不负青春韶华,度过充实的大学四年!
足球高清直播
学生宿舍管理委员会
2023年11月27日